Durchlass GeoCPM

Aus Dokumentation
Wechseln zu:Navigation, Suche

Für die "reine" GeoCPM Berechnung wurden ab Version 15 neue Berechnungsansätze für einfache (=eine Haltung mit zwei Knoten) Durchlässe implementiert.

GeoCPM V16 7.png


Die Anforderungen an die 2D-Oberflächenberechnung hat sich durch die aktuellen Starkregenberechnungen und neu aufkommenden wasserbaulichen Themen verändert. Hier geht der Weg von den urbanen Gebieten (Siedlungswasserwirtschaft) hin zu Berechnung von Fließgewässern (Wasserbau). Durch den neuen Berechnungsansatz von Durchlässen direkt im GeoCPM Berechnungskern, schaffen wir eine Vorgehensweise bei reinen 2D Oberflächenberechnungen ohne Kanalsystem. Der Fokus liegt hier auf Durchlässen im Gewässer, welche lediglich über einen "einfachen" Querschnitt (entweder Kreis oder Rechteck) verfügen. Komplexere Kanalstränge werden auch weiterhin mit der gekoppelten Berechnung (DYNA) modelliert! Die Weiterentwicklung zu komplexeren Profilen ist vorgesehen!


Ziel dieser neuen Berechnungsansätze:

  • Mehr Stabilität bei Berechnungen von Durchlässen und Brückenbauwerken!
  • Einfache Modellierung
  • Verbesserte Berechnungen bei Wasserbaulichen Themenstellungen
  • Schnellere Berechnungszeiten von Modellen nur mit einfachen Durchlässen (Nur GeoCPM)
  • Kombination aus Durchlässen für DYNA und GeoCPM möglich
  • „Einfacher“ Einstieg in GeoCPM

Neuer vereinfachter Vollfüllungsleistung-Ansatz

GeoCPM V15 23.png


  • Vollfüllungsleistung wird ermittelt aus den Schachtsohlen (Nicht Rohranschlusshöhen!)
  • Einfaches „weiterschieben“ von Wassermengen an dem jeweilig ausgewählten Durchlass. Möglichkeit zur Fließumkehr gegeben!
  • Anwendungsmöglichkeit: Feste Drosselmengen in Ablaufbauwerken von Dämmen oder Hochwasserrückhaltebecken ohne hydrodynamischen Einfluss

Hydrodynamischer Ansatz

GeoCPM V16 8.png


  • Hydrodynamische Berechnung der Durchflussmengen anhand Wasser- und Druckzuständen.
  • Volumen von Schächten und Haltungen werden nicht berücksichtigt:
    • Die bisherige Aufnahme von hohen Durchflussvolumina über die Schächte führte zu größeren Unregelmäßigkeiten ("Zittern") im Kurvenverlauf
    • Aufnahmefähigkeit der Schächte ist begrenzt über den Radius und die Schachthöhe
    • Haltungslängen für Durchlässe <5m anfällig für Instabilitäten
  • Hydrodynamischer Ansatz vollständig umgesetzt: 1D-Saint-Venantsche-Differentialgleichung

Dieser Ansatz ist ab der Version V16 für alle Profile verfügbar! Die Eingabe der Profilgrößen erfolgt im standardmäßig im Tab Geometrie der jeweiligen Haltung. Die Daten werden somit aus den Stammdaten über die Attribute übernommen werden!

GeoCPM V16 5.png


Anwendung der GeoCPM Durchlässe - das muss beachtet werden:

  • GeoCPM Durchlässe benötigen: Eindeutige Namensgebung der Abschnitte
  • GeoCPM Durchlässe werden über die Schachtsohle gekoppelt
  • GeoCPM Durchlässe brauchen keinen vergrößertes Knotenvolumen
  • Koppelung erfolgt wie bei DYNA Schächten: Manuell oder über die Automatischen Methoden der Zuweisung

Verlustansatz für Einläufe

In der neuen Version V17 ist ein zusätzlicher Verlust für die GeoCPM Durchlässe vorgesehen worden.

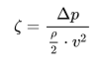
Der hier verwendete Ansatz basiert auf dem sogenannten ZETA-Wert, einem in der Hydrodynamik weit verbreiteten Parameter. In DYNA wird er unter anderem zur Beschreibung von Schachtverlusten eingesetzt.

GeoCPM V17 1.png


Δp = Druckverlust

ρ = Dichte

υ = mittlere Fliessgeschwindigkeit

Der Druckverlust, der nun zusätzlich in den GeoCPM-Durchlässen berücksichtigt wird, hängt von dem ZETA-Wert sowie der mittleren Fließgeschwindigkeit ab. Mit dem ZETA-Wert werden in der Hydraulik Verluste durch Armaturen, Aufweitungen, Verengungen, Knicke und Bögen abgebildet. Der ZETA-Wert der Durchlässe ist standardmäßig auf 0 gesetzt. Dies entspricht exakt dem Verhalten der GeoCPM-Durchlässe in Version 16. Eine Erhöhung des ZETA-Werts führt zu einem höheren Widerstand im Durchlass, was in der Regel zu geringeren bzw. verzögerten Durchflüssen führt. Damit einhergehend steigen die Wasserstände auf der Zuflussseite.

Der ZETA Wert kann individuell für jeden Durchlass separat angegeben werden auf dem Reiter GeoCPM unter folgender Zeile:

GeoCPM V17 5.png



Für die Schachtverluste sind Werte zwischen 0 und 3 üblich. Allerdings gibt es Literaturwerte auch für deutlich höhere Werte (>10), daher gibt es hinsichtlich des gewählten Ansatzes nach oben hin keine festen Grenzen.

Im Folgenden wird der Einfluss unterschiedlicher ZETA-Werte auf einen Durchlass dargestellt. Verglichen wurden dabei der Durchfluss durch den Durchlass sowie der Wasserspiegel unmittelbar vor dem Durchlass:

ZETA = 0 (blau) ZETA = 1 (grün) ZETA = 10 (rot) ZETA = 100 (lila)

Durchfluss

GeoCPM V17 3.png


Wasserstand vor dem Durchlass

GeoCPM V17 4.png


Es zeigt sich, dass der stationäre Durchflussbereich bei höheren ZETA-Werten erst bei deutlich höheren Wasserständen im Zulauf – und damit auch bei größeren Energiehöhen – erreicht wird.

Mit diesem Parameter haben Sie die Möglichkeit, die hydraulische Leistungsfähigkeit der Durchlässe individuell zu kalibrieren. Die Auswahl eines geeigneten und plausiblen ZETA-Werts obliegt dem Anwender und sollte auf fachlicher Einschätzung sowie gegebenenfalls auf Erfahrungswerten oder Messdaten basieren.

Ergebnisdarstellung

Die Ergebnisse werden für jeden Durchlass im eigenen "GeoCPM" Tab der Haltung ausgewiesen:

GeoCPM V16 9.png


Die Kurven können auch über die standard Kurvendarstellung (UFO-Control) geöffnet und kopiert werden! Es werden sowohl statische Informationen und die Hydraulischen Ergebnisse mit ausgegeben.

Weitere Möglichkeiten zum Anzeigen der Kurven: Die Ergebnisdarstellung innerhalb der Durchlässe ist über die Kurvendarstellung ersichtlich. Dazu können die Kurven über das Kontextmenü der OBO aufgerufen werden. Durch Anklicken der Funktion "Durchflussvolumen an Durchlässen (nur GeoCPM)" im Kontextmenü und anschließend auf die jeweilige Haltung!

GeoCPM V16 10.png


Durchlässe - Webinar vom 20.06.2024

Das nachfolgende Webinar geht auf etliche Neuerungen in der Version V16 ein und besonders auf die Neuerungen bezüglich der Berechnung von Durchlässen in GeoCPM, Videoerstellung, ...